The SOLIDWORKS Flow Simulation tool called ‘Free Surface’ is a capability with many useful and practical applications. For instance, it can accurately predict the flow rate of a liquid out of a tank and also the time taken for the tank to drain. As a proof, below is a water tank design concept. One of the design goals is that the tank should be able to empty from its maximum level ( 3m) in less than a minute. How large does the outlet pipe need to be and what design should it have?

This section image shows the geometry, some key dimensions are:
- Max water level above base is 2,995 mm
- Height of orifice above bottom of tank is 745mm
(to centreline)
- Inner diameter is 1,990 mm
- Orifice diameter is 240 mm
These values alone are almost
enough to allow us to do a manual calculation based on Bernoulli theory. The
only other piece of information we need is the ‘Discharge Coefficient’. This is not necessary for Flow as cfd works
from first principles but the theory requires this value (an empirical fudge
factor!). For an orifice with a ‘Short Tube’ the Cd is 0.81 as shown in the
reference above.
Flow uses the ‘Volume
of Fluid’ method which calculates the ‘Volume
Fraction’ of liquid and ‘Volume
Fraction’ of gas in each cell. The ‘Free
Surface’ occurs where the fraction is 50%. The surface moves in time as
calculated by ‘transport equations’.
Therefore, all Free Surface studies are transient.
In this case a solid body was created within the tank (using
the SOLIDWORKS ‘Intersect’ feature)
and this was used in the Flow set up tree as an ‘Initial Condition’ with a ‘Substance
Concentration’ of 100% water. The remainder of the domain was set to air.
The Bernoulli equation to calculate the flow rate from the
orifice is...

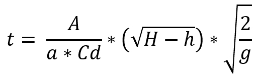
The equation for the time required to empty the tank is …

Where …
-
Q = Flow rate of water in m3/s
-
Cd = the Discharge Coefficient =
0.81 (see previous reference image)
-
a = area of the orifice = 0.0452
m2
g = gravity = 9.81 m/s2
-
H = height of water above bottom
of the tank = 2.995 m
-
h = height of centreline of
orifice above bottom of the tank = 0.745 m
-
A = area of the tank = 3.11 m2
These equations are derived from energy considerations and
conservation of mass.
Below are images of results showing the pressure, volumetric
fraction of water and velocity after 10 seconds of drainage when the initial
water level was 2.995 m.

For this condition (initial water level of 2.995m),
Bernoulli predicts an outlet flow rate of 14,429 l/min and a drainage time of
58.2 secs. Flow cfd predicts an outlet flow rate of 14,073 l/min and a drainage
time of 59.9 secs. These result are within 3% of each other.
To further test the correlation, Flow simulations were run
at 10 initial water levels using a Flow Parametric ‘What If’ analysis.
The graphs below show the correlation of the Bernoulli
equations with the 10 Flow cfd results. The top graph is the outlet flow rate,
Q, from the nozzle (in m3/s) and the lower graph is the drainage
time, t, (in secs) plotted against the initial head of water, H-h, (in m).

Clearly there is excellent agreement between the theory and
the cfd simulation. The maximum difference between theory and Flow is less than
3% for all simulations.
Here is an animation showing the drainage.
From the above we can see that this design of tank and
orifice would allow the water to drain in less than a minute – just. The design
works!!! However, if we added a fillet to the inside of the tank at the orifice
we could lower the Discharge Coefficient and get a slightly quicker drain time.
In fact, if we introduce a 40 mm fillet on the inside of the tank, the new results
are …

Interestingly when the tank is nearly empty the flow rate gets
choppy. This is because the outlet is on one side and the flow pattern is not
symmetric. A small wave starts to oscillate across the tank as air starts to
enter the tank via the orifice.
The ‘Iso-surface’ plot below shows this effect. This shows
the ‘free surface’ after 20 seconds
coloured by velocity. There is a gradient in the water surface in the vicinity
of the orifice. Due to the gradient (and gravity) the water speeds up as it
enters the orifice as can be seen by the red, green and pale blue colours.

This effect can also be seen graphically below. This shows the
outlet flow results v time for all 10 cfd calculations. For each one, you can
see an oscillation as the water surface falls below the top of the orifice – at
an outlet flow rate of about 2,500 l/min.
This is where Flow is
so useful – it allows users to understand the physics of a design challenge at
a very deep level which, otherwise, would not be appreciated. James Dyson has
made his fortune understanding these types of subtleties in fluid dynamics!

However, you may well be wondering what would be the
justification for using cfd if the calculation can be done by hand. Good
question! Clearly, for a simple situation it would be quicker to do the maths
(assuming you know the equations and are confident of not making a mistake with
the numbers!). However, what if you wanted to change the orifice design, add a
filter, introduce a ball valve or butterfly valve or even a second outlet to
speed up the drainage. What would happen if there were an inlet pipe allowing
water to flow in at the same time as it flows out? Suddenly the Bernoulli
equations become inadequate and you are back to guesswork.
However, all these
types of real life situations can be handled in Flow just as easily as the
simple cases, yielding deeper insights, better products and reduced design lead
time.
Andy Fulcher
Solid Solutions Management - Group Technical Director